• Предмет: Математика
  • Автор: lizabardon
  • Вопрос задан 8 лет назад

помогите пожалуйста

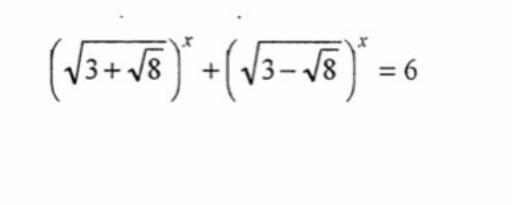
Приложения:

Ответы

Ответ дал: ckjytyjr22
0

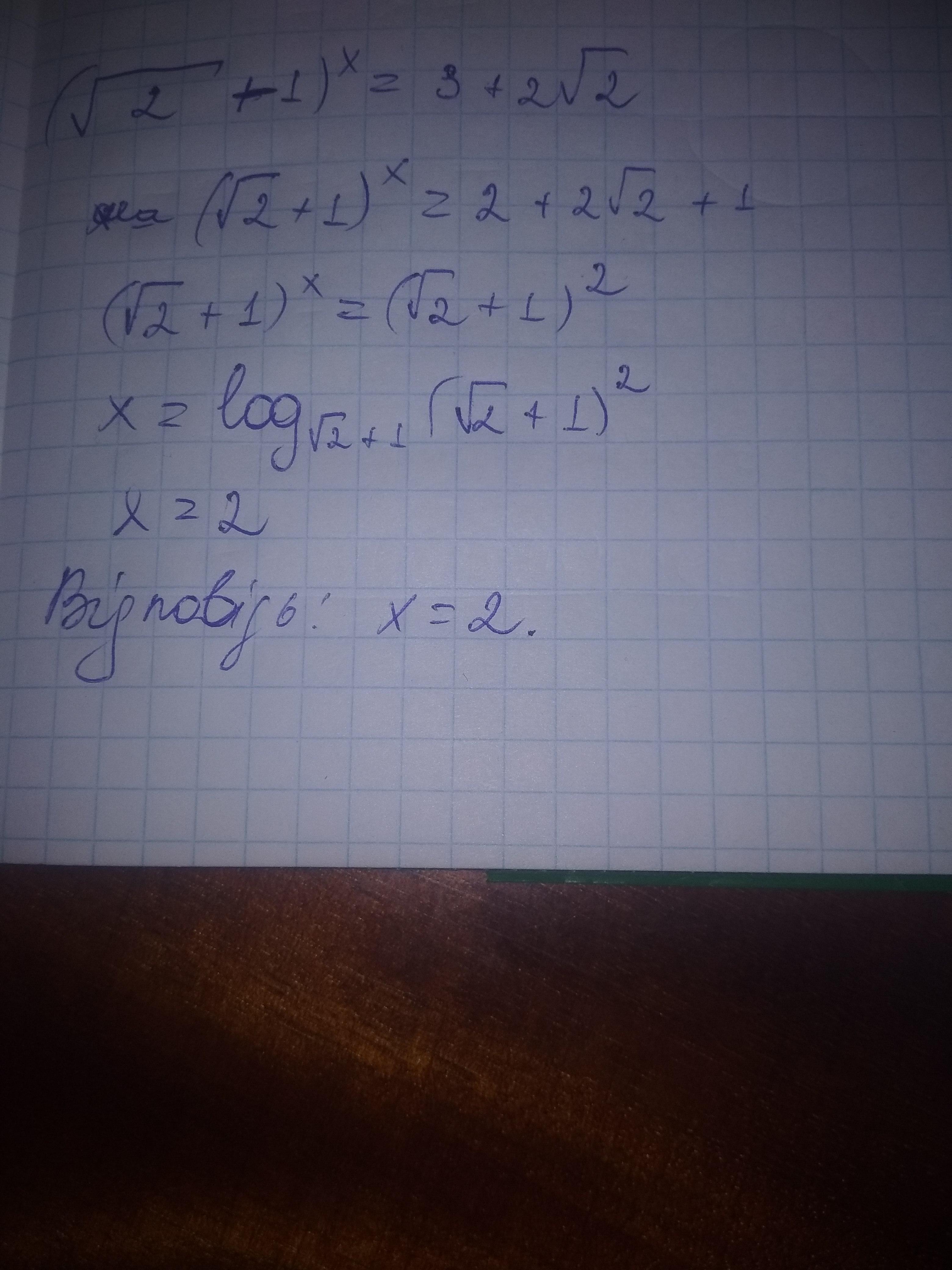
Ответ:

Пошаговое объяснение:

Приложения:
Вас заинтересует