• Предмет: Алгебра
  • Автор: annakonchakovskaa
  • Вопрос задан 8 лет назад

Між числами 5 і 160 вставили такі чотири числа, щоб вони разом із данними числами утворили геометричну прогресію. Знайдіть ці числа.

Ответы

Ответ дал: dtnth
0

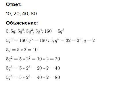
Ответ:

10; 20; 40; 80

Объяснение:

5; 5q; 5q^2; 5q^3; 5q^4; 160=5q^5

5q^5=160;q^5=160:5; q^5=32=2^5; q=2

5q=5*2=10

5q^2=5*2^2=10*2=20

5q^3=5*2^3=20*2=40

5q^4=5*2^4=40*2=80

Приложения:
Вас заинтересует