• Предмет: Математика
  • Автор: colten359
  • Вопрос задан 8 лет назад

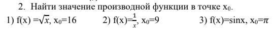
Найти значение производной функции в точке х0.

Приложения:

Ответы

Ответ дал: alphabet26102405
0

Ответ:

Дерзай ;)

Пошаговое объяснение:

1) f(x) = sqrt{x}

f'(x) = frac{1}{2sqrt{x} }

f'(x_{0}) = frac{1}{2sqrt{16} } = frac{1}{8}

2) f(x) = frac{1}{x}

f'(x) = -frac{1}{ x^{2} }

f'(x_{0}) = -frac{1}{81}

3) f(x) = sinx

f'(x) = -cosx

f'(x_{0}) = -cos(pi) = -(-1) = 1

Вас заинтересует