• Предмет: Химия
  • Автор: annapotapenko201878
  • Вопрос задан 8 лет назад

Помогите пожалуйста!!! Дам 35 баллов

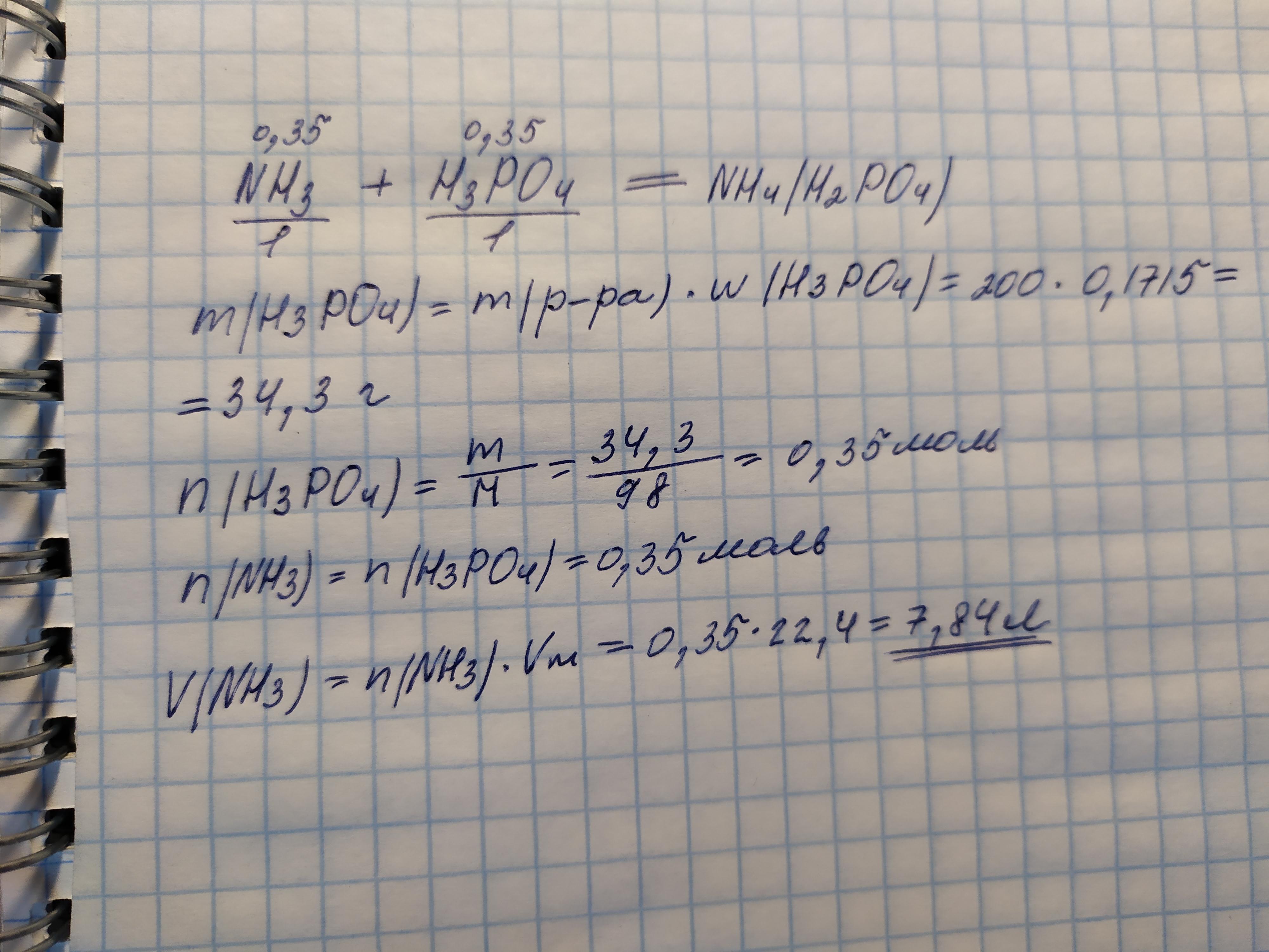
Определите и укажите, какой объем аммиака (л; до сотых) (н. у.) поглотил раствор ортофосфатной кислоты, масса которого составляет 200 г, а массовая доля кислоты— 17,15%, если в полученном растворе обнаружили лишь аммоний дигидрогенфосфат.

Ответы

Ответ дал: holmskaja
0

Ответ: 7,84 л

_________________

Приложения:
Вас заинтересует