• Предмет: Алгебра
  • Автор: noveler243
  • Вопрос задан 8 лет назад

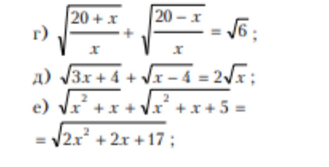
Решите уравнение под буквой Е

Приложения:

Ответы

Ответ дал: guvanch021272
0

Ответ:

x=(-1±√17)/2

Объяснение:

sqrt{x^{2} +x} +sqrt{x^{2} +x+5}=sqrt{2x^{2}+ 2x+17}

ОДЗ: x²+x≥0; x²+x+5≥0; 2x²+2x+17≥0⇒x∈(-∞;-1]∪[0;+∞)

(sqrt{x^{2} +x} + sqrt{x^{2} +x+5})²=(sqrt{2x^{2}+ 2x+17}

x^{2} +x+2sqrt{x^{2} +x}sqrt{x^{2} +x+5}+x^{2} +x+5}= 2x^{2}+ 2x+17

2sqrt{x^{2} +x} sqrt{x^{2} +x+5}=12

sqrt{x^{2} +x} sqrt{x^{2} +x+5}=6

(sqrt{x^{2} +x} sqrt{x^{2} +x+5})²=6²

(x²+x)(x²+x+5)=36

x²+x=y⇒x²+x+5=y+5

y(y+5)=36

y²+5y-36=0

y²-4y+9y-36=0

y(y-4)+9(y-4)=0

(y-4)(y+9)=0

1) y-4=0

y=4

x²+x=4

x²+x-4=0

D=1+16=17

x=(-1±√17)/2

(-1+√17)/2>(-1+√16)/2=1,5>0

(-1-√17)/2<(-1-√16)/2=-2,5<-1

2) y+9=0

y=-9

x²+x=-9

x²+x+9=0

D=1-36=-35<0

Вас заинтересует