• Предмет: Математика
  • Автор: repvbx1999
  • Вопрос задан 8 лет назад

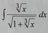
Интегралы
Пожалуйста напишите помимо решения примененную формулу или способ

Приложения:

Ответы

Ответ дал: Helper211
0

Ответ:

frac{6(1+sqrt[3]{x})^{frac{7}{2}}}{7}-frac{18(1+sqrt[3]{x})^{frac{5}{2}}}{5}+6(1+sqrt[3]{x})^{frac{3}{2}}-6sqrt{(1+sqrt[3]{x})}+3C

Пошаговое объяснение:

int {frac{sqrt[3]{x}}{sqrt{1+sqrt[3]{x}}}}dx\\t=sqrt[3]{x}\\dt=frac{dx}{3sqrt[3]{x^2}}\\sqrt[3]{x^2}=t^2\\dx=3t^2dt\\int {frac{sqrt[3]{x}}{sqrt{1+sqrt[3]{x}}}}dx=int {frac{3t^3dt}{sqrt{1+t}}}\\u=1+t\\du=dt\\

int {frac{3t^3dt}{sqrt{1+t}}}=3int{frac{(u-1)^3du}{sqrt{u}}}=3int{frac{u^3-3u^2+3u-1}{u^{frac{1}{2}}}du}=\\3left[int{frac{u^3du}{u^{frac{1}{2}}}}}-int{frac{3u^2du}{u^{frac{1}{2}}}}}+int{frac{3udu}{u^{frac{1}{2}}}}}-int{frac{du}{u^{frac{1}{2}}}}}right]=3left[int{u^{frac{5}{2}}du}-int{3u^{frac{3}{2}}du}+int{3u^{frac{1}{2}}du}-int{u^{-frac{1}{2}}du}right]=3left[frac{2u^{frac{7}{2}}}{7}-frac{6u^{frac{5}{2}}}{5}+2u^{frac{3}{2}}-2sqrt{u}+Cright]\\u=1+t=1+sqrt[3]{x}\3left[frac{2u^{frac{7}{2}}}{7}-frac{6u^{frac{5}{2}}}{5}+2u^{frac{3}{2}}-2sqrt{u}+Cright]=frac{6(1+sqrt[3]{x})^{frac{7}{2}}}{7}-frac{18(1+sqrt[3]{x})^{frac{5}{2}}}{5}+6(1+sqrt[3]{x})^{frac{3}{2}}-6sqrt{(1+sqrt[3]{x})}+3C

Вас заинтересует