Ответы
Ответ дал:
0
Ответ:
см.на файл.....
Объяснение:
удачи
Приложения:

Ответ дал:
0
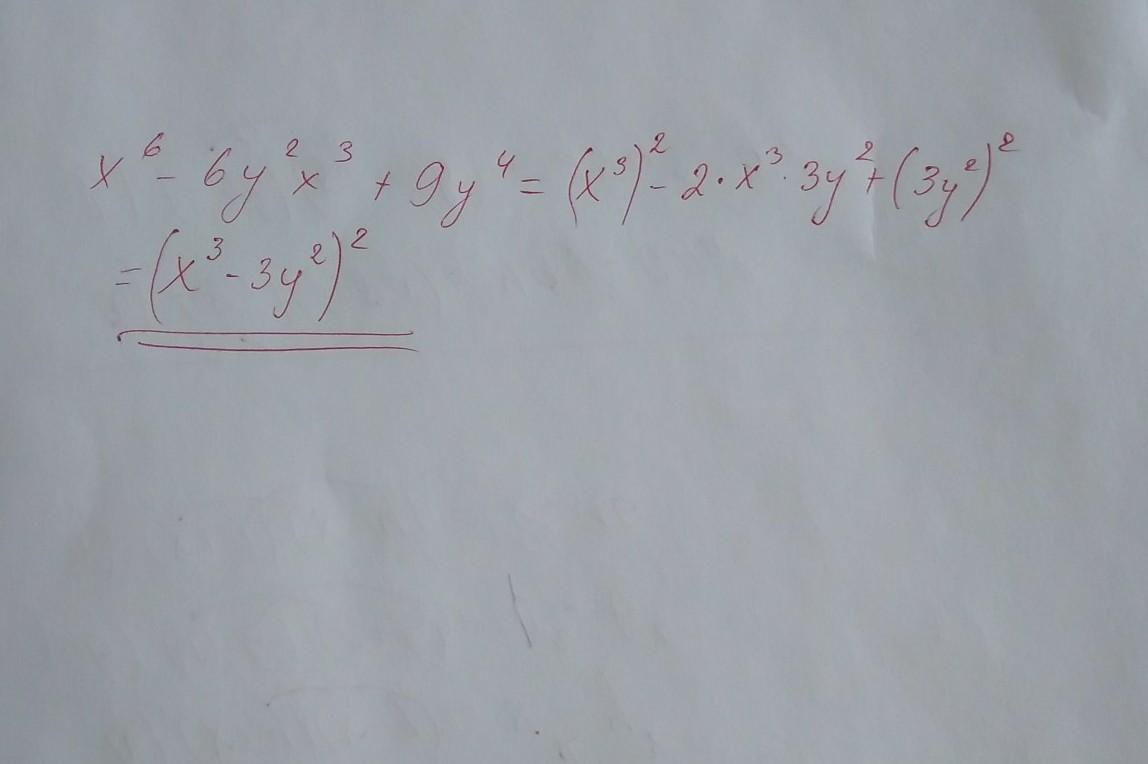
Ответ:
(х³-3у²)²
Объяснение:
Нужно свернуть выражение в квадрат разности:
= (х³-3у²)²
Приложения:

Вас заинтересует
2 года назад
3 года назад
3 года назад
8 лет назад
8 лет назад
9 лет назад