Ответы
Ответ дал:
0
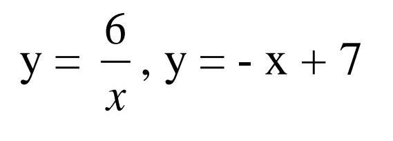
Как я поняла, у = 6:х
Не уверена, что правильно, но в интернете так
Не уверена, что правильно, но в интернете так
Приложения:

Вас заинтересует
2 года назад
2 года назад
3 года назад
3 года назад
8 лет назад
9 лет назад