Ответы
Ответ дал:
0
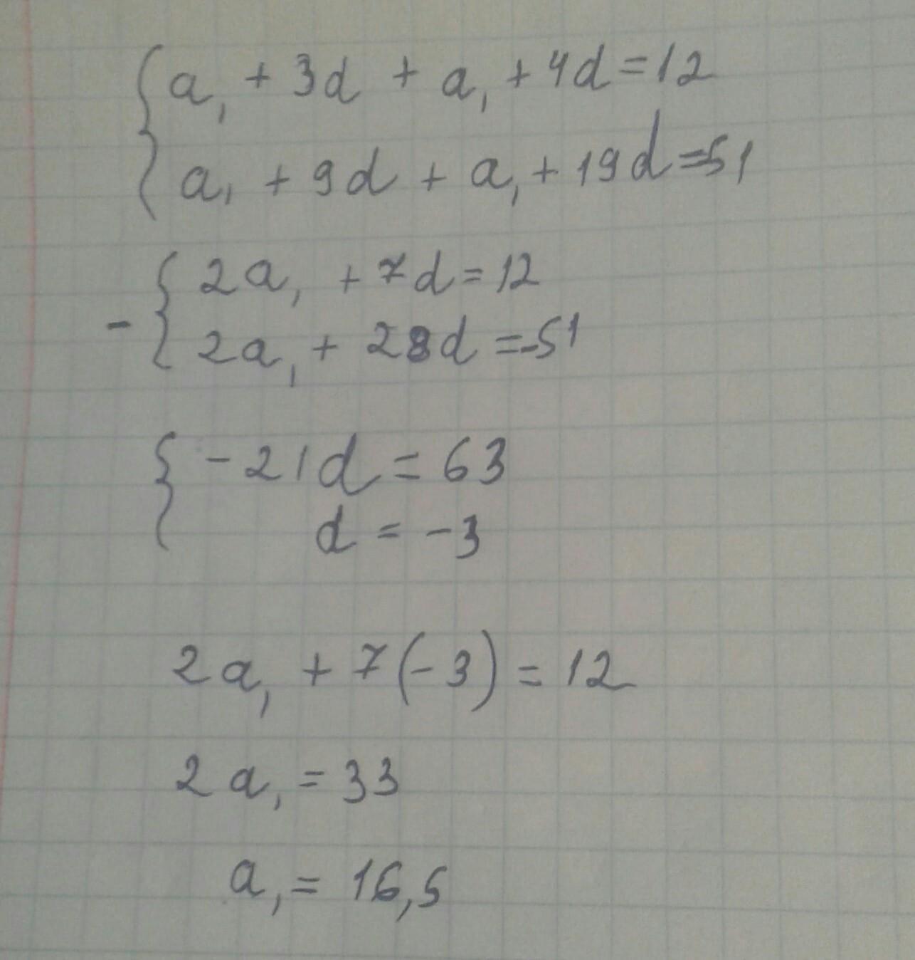
Ответ:
a=16.5
d=-3
Объяснение:
если вопросы спросите!
Приложения:

Ответ дал:
0
спасибо,я просто так же решала,и не получилось,не ту цифру поставила,спасибо вам
Вас заинтересует
2 года назад
2 года назад
3 года назад
3 года назад
8 лет назад
9 лет назад