• Предмет: Алгебра
  • Автор: lizaogneva06
  • Вопрос задан 8 лет назад

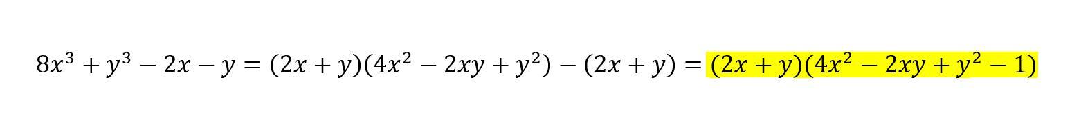
Представьте в виде произведения выражение 8x^3+y^3-2x-y

Ответы

Ответ дал: sebrithien
0

Решение в приложении

Приложения:
Вас заинтересует