• Предмет: Математика
  • Автор: islamaktanov222
  • Вопрос задан 8 лет назад

помогите пожалуйста

Приложения:

Ответы

Ответ дал: ali894
0

Пошаговое объяснение:

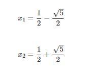
Х

x {2}  - x - 1 = 0 \  \

Приложения:
Ответ дал: KimLisa18
0

Ответ представлен ниже

      X   ↓↓↓

Приложения:
Ответ дал: KimLisa18
0
)))
Вас заинтересует