Ответы
Ответ дал:
0
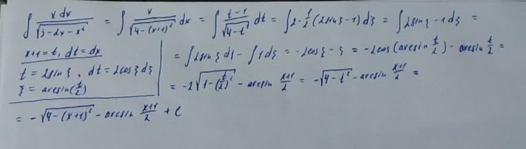
Решение приложено...
Приложения:

Ответ дал:
0
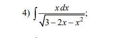
Ответ:
Пошаговое объяснение:
Начнем с преобразования подкоренного выражения:
Тогда:
Следовательно, мы можем записать, что:
Это два табличных интеграла:
Приложения:

Вас заинтересует
2 года назад
2 года назад
3 года назад
3 года назад
8 лет назад
8 лет назад
9 лет назад