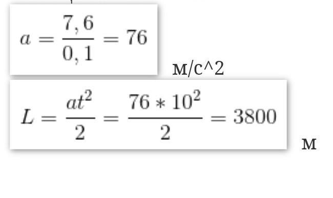
У ході рівноприскореного руху зі стану спокою мотоцикліст за десяту секунду проїжджає 7,6 м. Визначте прискорення мотоцикліста; обчисліть його переміщення за 10 сек.
Ответы
Ответ дал:
0
Ответ:
Вот............................
Приложения:
Вас заинтересует
2 года назад
2 года назад
3 года назад
3 года назад
9 лет назад
9 лет назад
10 лет назад