• Предмет: Алгебра
  • Автор: VlAdYsLaV15
  • Вопрос задан 8 лет назад

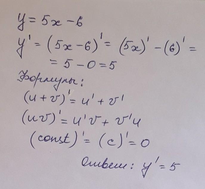
y=5x-6
y'-?
с объяснением.. ​

Ответы

Ответ дал: sharofat0
0

Ответ:

Найдите производную функции.

Приложения:
Вас заинтересует