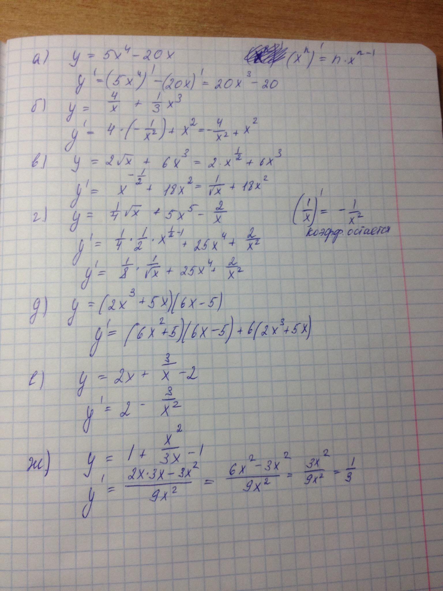
Найти производную функции(подробно):
а) у=5x^4-20x
б) у=4/x+1/3 * x^3
в) у=2√x + 6x^3
г) у= 1/4√x + 5x^5-2/x
д) у=(2x^3 + 5x)(6x - 5)
e) у= 2x+3/x-2
ж) у=1+x^2/3x-1
Ответы
Ответ дал:
0
Ответ:
Пошаговое объяснение:
Постаралась максимально подробно, если непонятно - вспомните правила дифференцирования :)
Приложения:

Вас заинтересует
2 года назад
2 года назад
3 года назад
8 лет назад
9 лет назад
9 лет назад