• Предмет: Математика
  • Автор: kristinchik69
  • Вопрос задан 8 лет назад

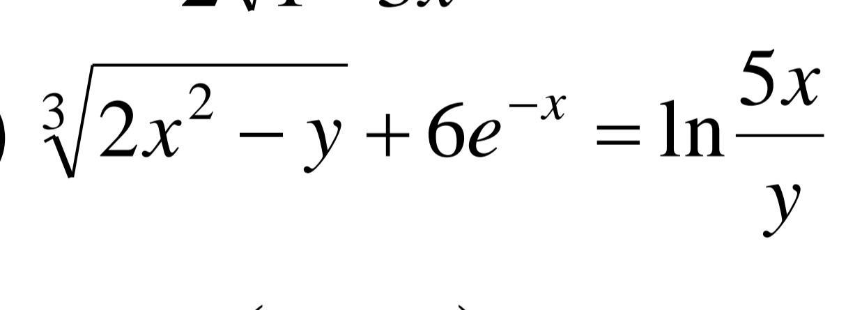
Найти производную у ′(х)

Приложения:

Ответа на этот вопрос пока нет. Попробуйте найти его через форму поиска.

Вас заинтересует