СРОЧНОООО!
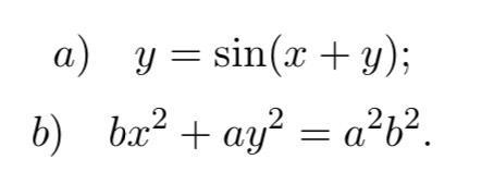
Прошу помогите найти ВТОРУЮ производную этих функций.
P.S. a и b константы!!!
Очень вас прошу!! Очень буду благодарна. Дам 60 баллов
Приложения:

Ответы
Ответ дал:
0
Ответ:
1) у'=cos(x+y)
2)у'=-1
Пошаговое объяснение:
В первом есть формула. По ней в производной синус переходит в косинус а косинус в минус синус
Во втором вырази из всего этого у и зная, что а и б константы они равны 0 а сам х =1
Вас заинтересует
2 года назад
3 года назад
8 лет назад
9 лет назад
9 лет назад