• Предмет: Алгебра
  • Автор: okzsdestvenskaa
  • Вопрос задан 8 лет назад

решите даю 5 баллов
с решением

Приложения:

Ответы

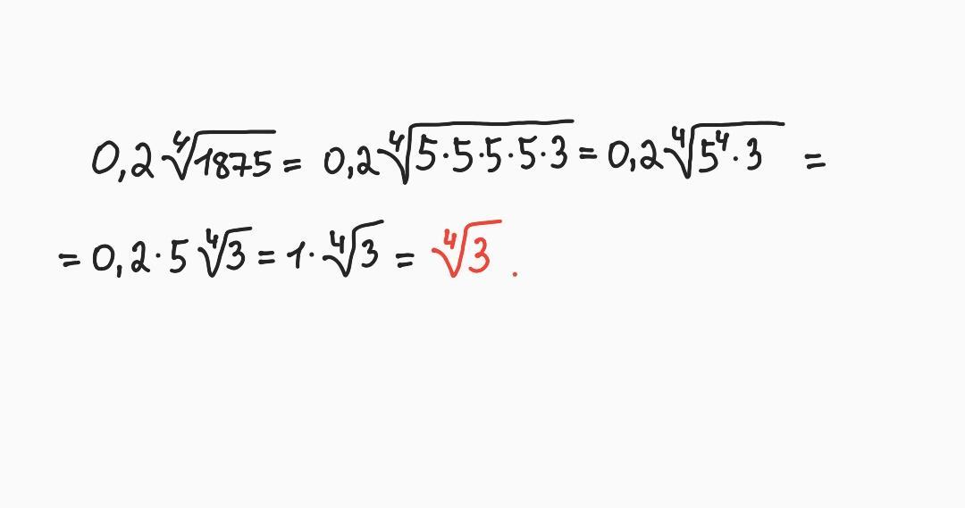
Ответ дал: Kierra
0

~~~~~~~~~~~~~~~~~~~~

Приложения:
Вас заинтересует