• Предмет: Математика
  • Автор: maakksenia856
  • Вопрос задан 8 лет назад

помогите пожалуйста Дам 20 баллов​

Приложения:

Ответы

Ответ дал: Rararatt
0

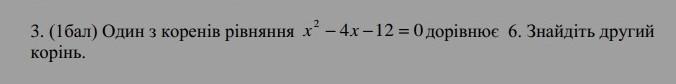
Ответ: x^2-4x-12=0

D= 16+48=64=8^2>0

x1= (4+8)2= 6

x2= (4-8)2= -2

Пошаговое объяснение:

Ответ дал: narminmamedzadeh
0

Ответ:

x^2-4x-12=0

D=b^2-4ac=(-4)^2-4×1×(-12)=16+48=64

√64=8

x1=-b-√D/2a=-(-4)-8/2×1=4-8/2=-4/2=-2

x2=-b+√D/2a=-(-4)+8/2×1=4+8/2=12/2=6

Вас заинтересует