• Предмет: Алгебра
  • Автор: tinamnedinami184
  • Вопрос задан 8 лет назад

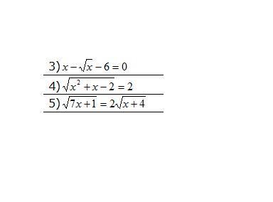
решить уравнения.....

Приложения:

Ответы

Ответ дал: anastasiam026
0

3)x= 9

4)x1=-3 x2=2

5)x=5

Вас заинтересует