• Предмет: Алгебра
  • Автор: belovaleksandr53
  • Вопрос задан 8 лет назад

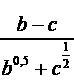
Упростите выражение

Приложения:

Ответы

Ответ дал: Maxuch
0

 frac{b - c}{b^{0.5} + c^{ frac{1}{2} }  }  =  frac{b - c}{ sqrt{b} +  sqrt{c}  }  =  frac{( sqrt{b} +  sqrt{c})( sqrt{b}  -  sqrt{c} )  }{ sqrt{b} +  sqrt{c}  }  =  sqrt{b}  -  sqrt{c}

Вас заинтересует