• Предмет: Математика
  • Автор: ivan9tpro
  • Вопрос задан 8 лет назад

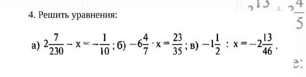
ПОМОГИ ПОЖАЛУЙСТА!!!​

Приложения:

Ответа на этот вопрос пока нет. Попробуйте найти его через форму поиска.

Вас заинтересует