• Предмет: Математика
  • Автор: sayfutdinovael
  • Вопрос задан 8 лет назад

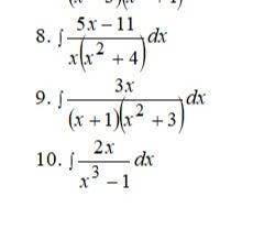
решите пожалуйста 8. Срочно!Найти неопределенные интегралы, пользуясь разложением рациональных дробей на простейшие

Приложения:

Ответы

Ответ дал: Miroslava227
0

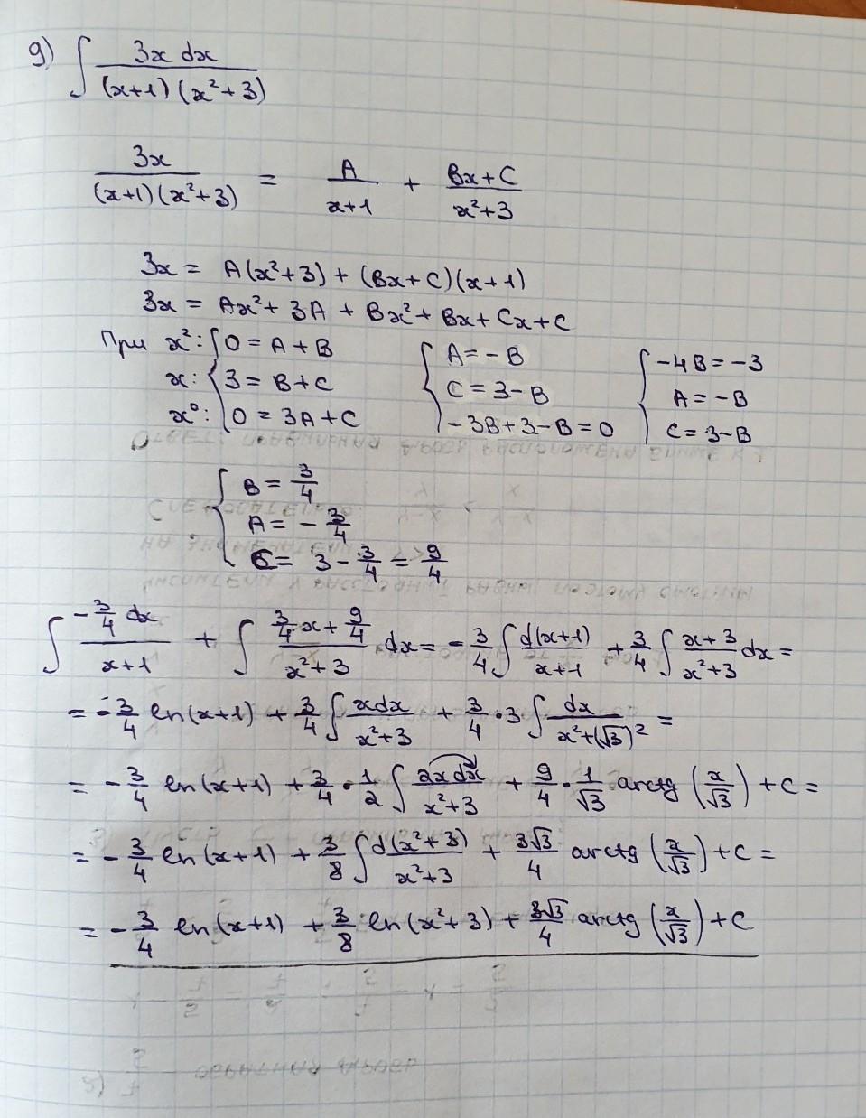
Ответ:

решение на фотографиях

Приложения:
Вас заинтересует