Ответы
Ответ дал:
0
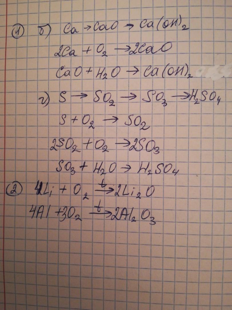
Б) 2Ca+O2=2CaO
CaO+H2O = Са(ОН)2
Г)S+O2=SO2
2SO2+O2=2SO3
SO3+H2O=H2SO4
2.
2Li+O2=2Li2O
4Al+3O2=2Al2O3
CaO+H2O = Са(ОН)2
Г)S+O2=SO2
2SO2+O2=2SO3
SO3+H2O=H2SO4
2.
2Li+O2=2Li2O
4Al+3O2=2Al2O3
Ответ дал:
0
Ответ:
Ответ на фото ниже
Объяснение:
Приложения:
Вас заинтересует
2 года назад
2 года назад
3 года назад
3 года назад
9 лет назад
9 лет назад
10 лет назад