• Предмет: Алгебра
  • Автор: Stepa2006supr
  • Вопрос задан 8 лет назад

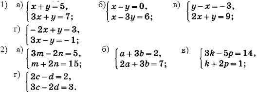
Решите 2 вариант.вот пример

Приложения:

Ответа на этот вопрос пока нет. Попробуйте найти его через форму поиска.

Вас заинтересует
3 года назад