• Предмет: Алгебра
  • Автор: xxxchonyarkkxxx
  • Вопрос задан 8 лет назад

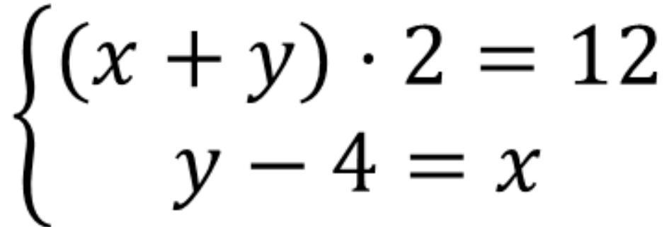
Решением какой задачи является данная система уравнений?
Решите эту задачу.

1)Периметр прямоугольника равен 12 см. Известно, что ширина меньше длины на 2 см. Найдите стороны прямоугольника.

2) Ширина 5 см, длина 1 см.

3)Ширина 1 см, длина 5 см.

4)Периметр прямоугольника равен 4 см. Известно, что ширина меньше длины на 12 см. Найдите стороны прямоугольника.

5)Ширина 4 см, длина 2 см.

6)Периметр прямоугольника равен 12 см. Известно, что ширина меньше длины на 4 см. Найдите стороны прямоугольника.

7)Периметр прямоугольника равен 2 см. Известно, что ширина меньше длины на 12 см. Найдите стороны прямоугольника.

8)Ширина 2 см, длина 4 см.

Приложения:

Ответа на этот вопрос пока нет. Попробуйте найти его через форму поиска.

Вас заинтересует