• Предмет: Математика
  • Автор: Dmitriy114
  • Вопрос задан 8 лет назад

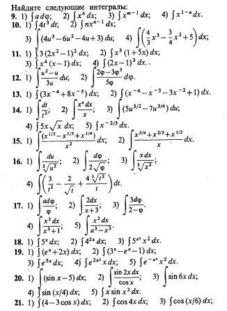
Найти интегралы 50 балов!!!

Номера 14(2), 19(2), 20(2)

Приложения:

Ответа на этот вопрос пока нет. Попробуйте найти его через форму поиска.

Вас заинтересует