• Предмет: Алгебра
  • Автор: Аноним
  • Вопрос задан 2 года назад

помогите алгебра 9 класс если не сложно ответ напишите на листике

Приложения:

Ответы

Ответ дал: blackmday12
0

Объяснение:

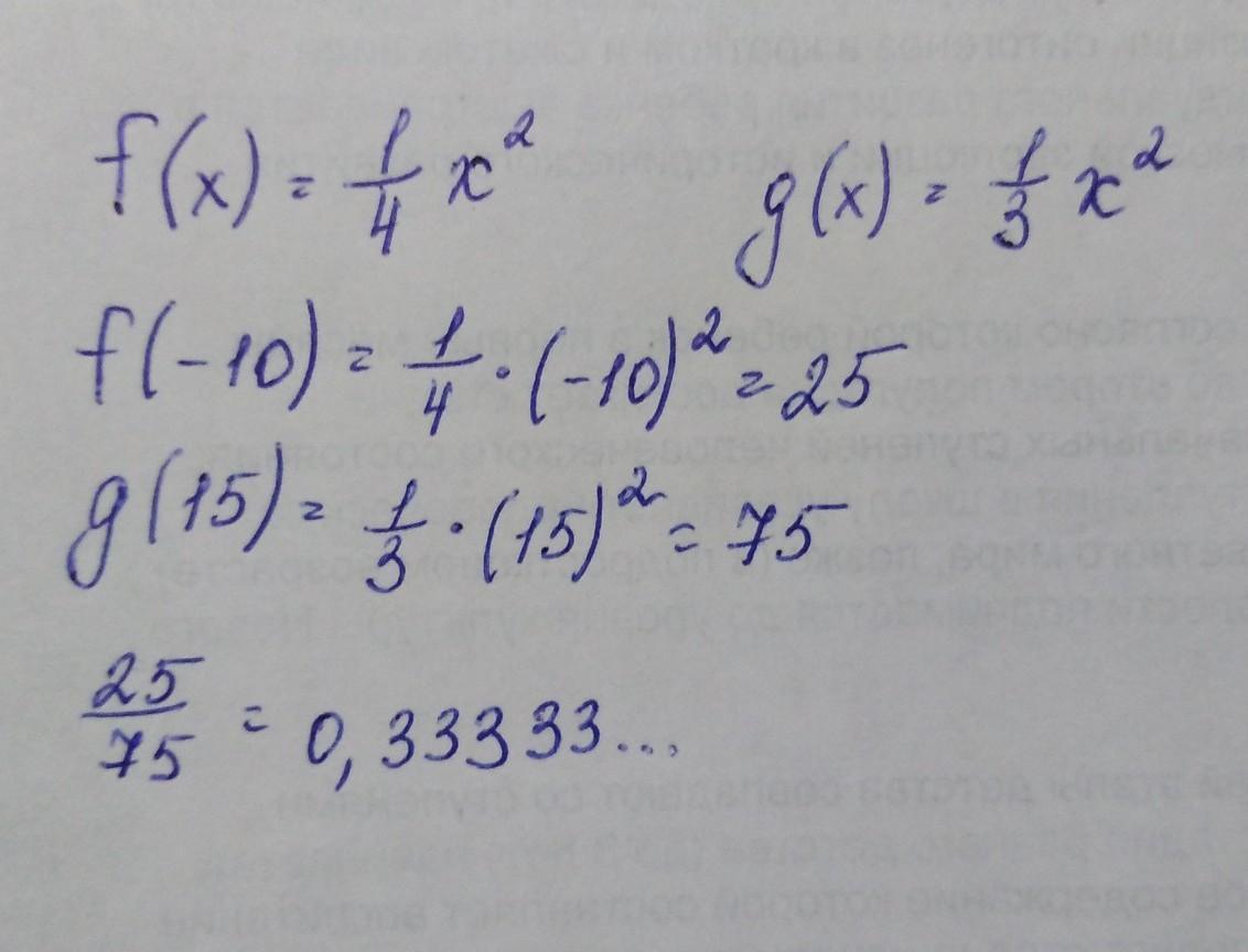
Решение на фото.........

Приложения:
Вас заинтересует