• Предмет: Алгебра
  • Автор: francuhoksana
  • Вопрос задан 8 лет назад

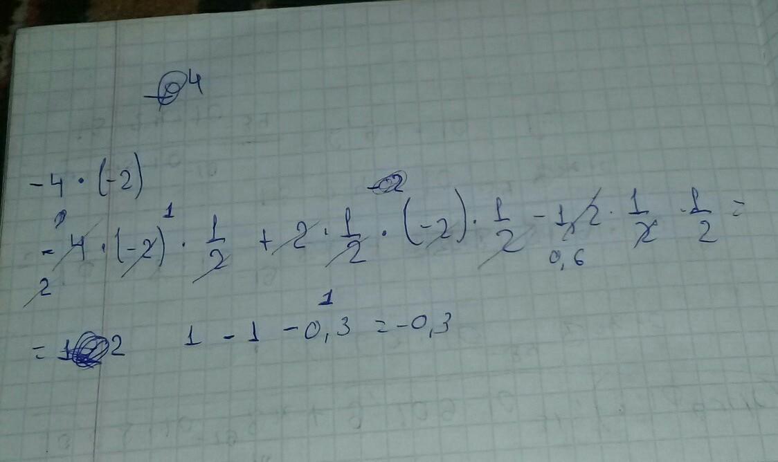
упростите многочлен:-4ba+2aba-1,2aa.Найдите его значение,если a=1/2,b=-2​

Ответы

Ответ дал: dna0606
0

-0.3

.................

Приложения:
Ответ дал: Kristina1563
0

Ответ:

-4ba+2aba-1,2aa= -4ab+2a²b-1,2a²

Если a= 1/2, b=-2, то -4ab+2a²b-1,2a²=  -4*1/2*(-2)+2*1/2²*(-2)-1.2*1/2²=

27/10

Приложения:
Вас заинтересует