Ответы
                                            Ответ дал: 
                                                                                    
                                        
                                            
                                                
                                                
                                                
                                                    0
                                                
                                            
                                        
                                    Пошаговое объяснение:
1
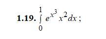
{е^х^3×х^2dx={e^x^3x^2dx
0
упрощаем интеграл, используя метод замены переменной:
1
{1/3dt=1/3t=1/3e^x^3=e^x^3/3=e^x^3/3 |=
0
=e^1^3/3-e^0^3/3=e-1/3
Вас заинтересует
                
                        2 года назад
                    
                
                        3 года назад
                    
                
                        3 года назад
                    
                
                        8 лет назад
                    
                
                        8 лет назад
                    
                
                        9 лет назад