У геометричної прогресії (bn) b4=16, b5=-32. Знайдіть: 1) перший член
2)восьмий член
3) суму семи перших членів цієї прогресії
Ответы
Ответ дал:
4
Ответ:
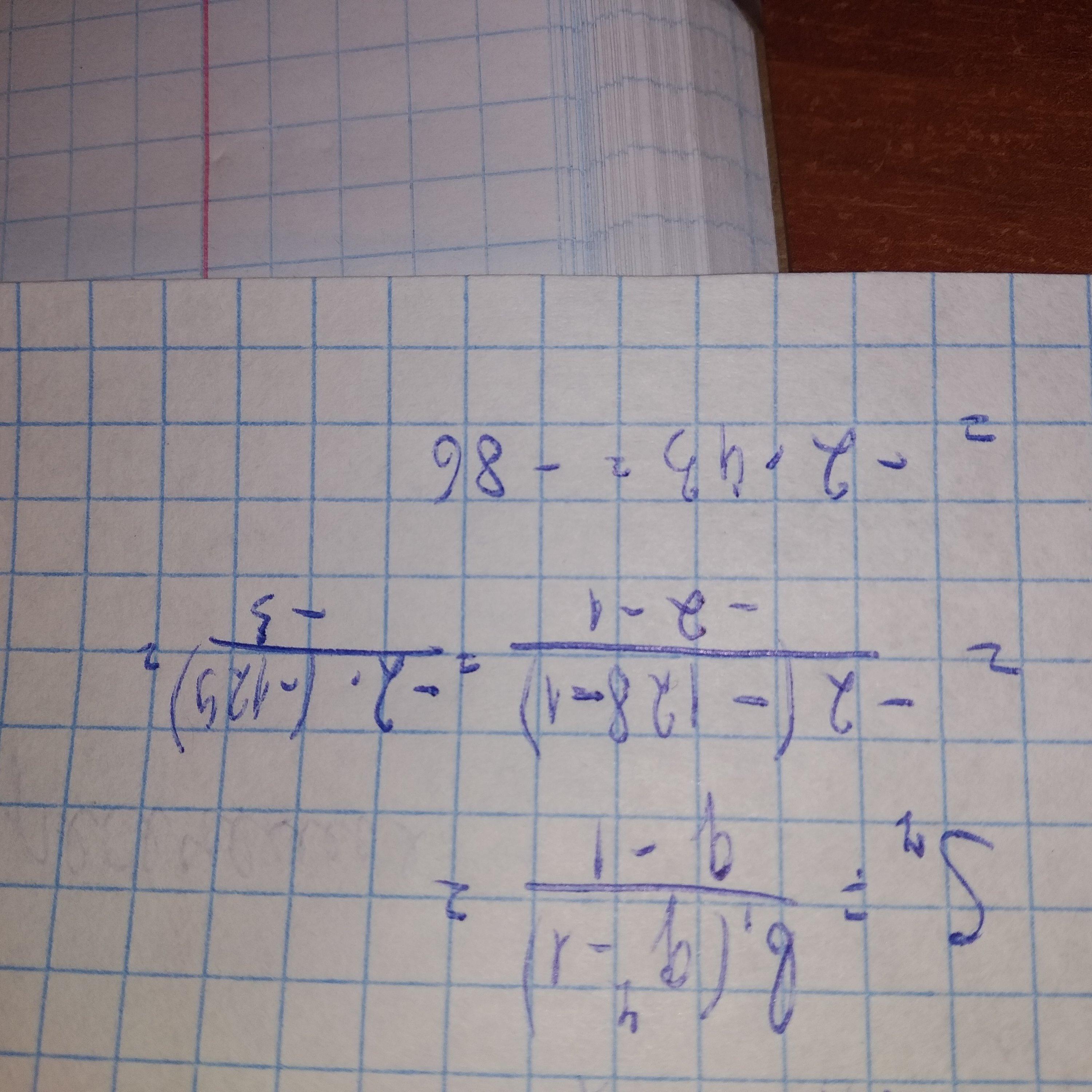
1) -2; 2) 256; 3) -86;
Объяснение:
Решение на фото
Приложения:


Вас заинтересует
1 год назад
1 год назад
1 год назад
1 год назад
8 лет назад