• Предмет: Алгебра
  • Автор: mtopychkanova
  • Вопрос задан 8 лет назад

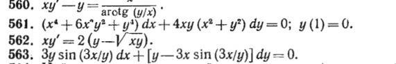
ПОЖАЛУЙСТА❤️ я не понимаю, 563 номер помогите решить дифференциальное уравнение заменой u=y/x

Приложения:

Ответа на этот вопрос пока нет. Попробуйте найти его через форму поиска.

Вас заинтересует