Ответы
Ответ дал:
0
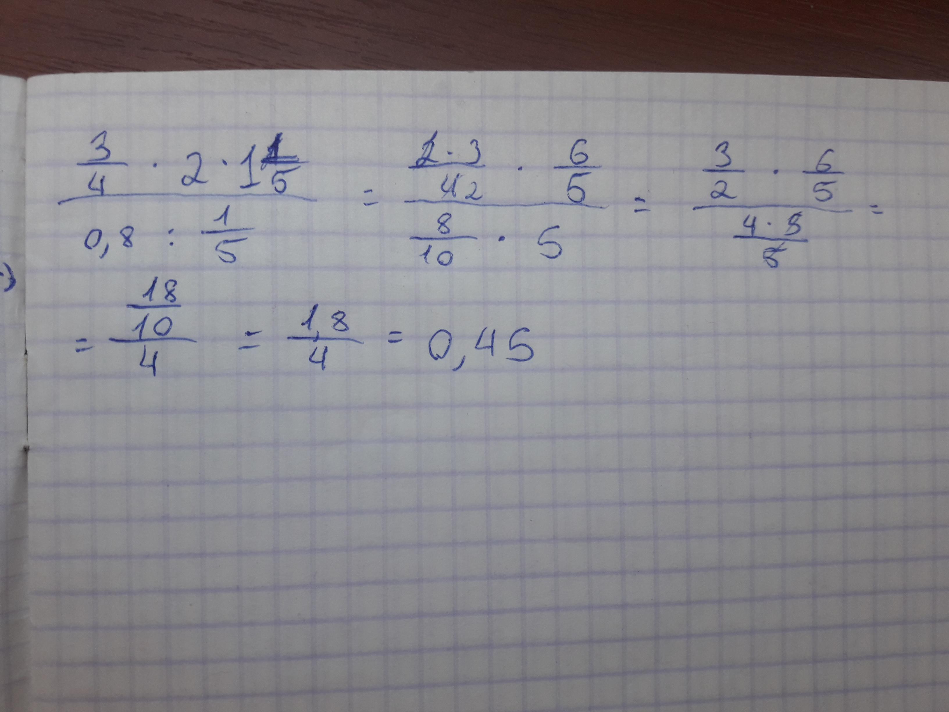
Ответ:
0,45.
Пошаговое объяснение:
1) ¾ * 2 * 1⅕ = ¾ * 8/4 * 1⅕ = 24/16 * 6/5 = 144/80 = 1,8.
2) 0,8 : ⅕ = 8/10 * 5/1 = 8/2 = 4.
3) 1,8 : 4 = 0,45.
Ответ дал:
0
Ответ на фото))
Удачи)
Приложения:

Вас заинтересует
1 год назад
1 год назад
1 год назад
3 года назад
3 года назад
8 лет назад