• Предмет: Алгебра
  • Автор: galas2005ma
  • Вопрос задан 8 лет назад

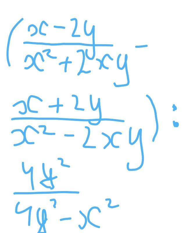
Спростіть вираз!!!!! ​

Приложения:

Ответа на этот вопрос пока нет. Попробуйте найти его через форму поиска.

Вас заинтересует