• Предмет: Химия
  • Автор: ekaterinaelovokova
  • Вопрос задан 8 лет назад

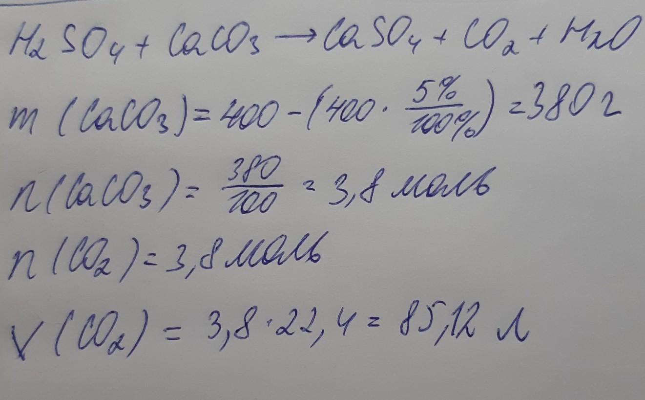
Найди объём углекислого газа (н. у.), который выделится при действии серной кислоты на 400 г мрамора, содержащего 5 % некарбонатных примесей.

  

Вычисления проводи с точностью до сотых.

Ответы

Ответ дал: marchebka
0

Ответ:

Решение на фото

Объяснение:

смотри фото

Приложения:
Вас заинтересует