• Предмет: Алгебра
  • Автор: MimsBlacker
  • Вопрос задан 2 года назад

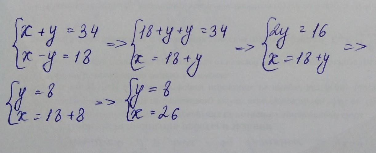
Найди два числа, если известно, что их сумма равна 34, а разность равна 18.

Ответ:
числа
и

(первым записывай большее число).

Ответы

Ответ дал: blackmday12
1

Объяснение:

Решение на фото.........

Приложения:
Вас заинтересует