• Предмет: Математика
  • Автор: ltyrf
  • Вопрос задан 2 года назад

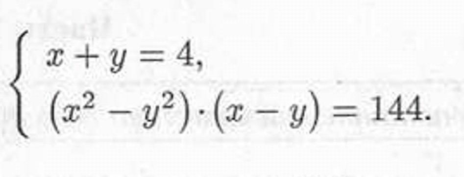
решите систему уравнений
пожалуйста срочно!!!​

Приложения:

Ответы

Ответ дал: narminmamedzadeh
1

Ответ:

(x1;y1)=(5;-1)

(x2;y2)=(-1;5)

Пошаговое объяснение:

{x+y=4

{(x^2-y^2)×(x-y)=144

{x=4-y

{(x^2-y^2)×(x-y)=144

((4-y)^2-y^2)×(4-y-y)=144

y=-1

y=5

x=4-(-1)=5

x=4-5=-1

Ответ дал: gal4enok0071
0
Как то так! Надеюсь помогла!
Приложения:
Вас заинтересует