Ответы
Ответ дал:
0
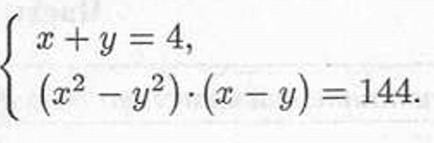
Смотри вложениеееееееее
Приложения:

Вас заинтересует
1 год назад
3 года назад
8 лет назад