• Предмет: Алгебра
  • Автор: stil70
  • Вопрос задан 11 лет назад

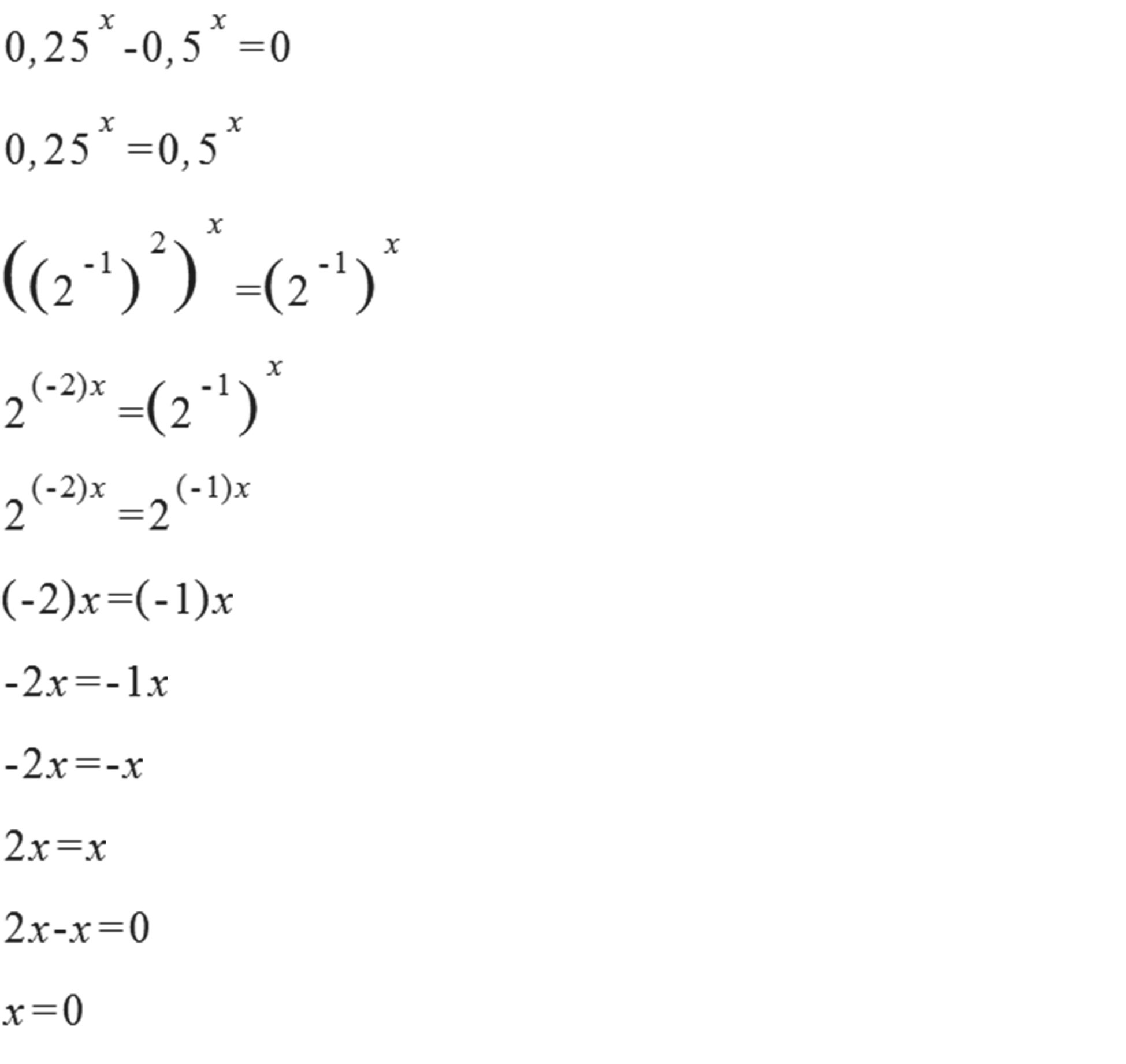
решите неравенство:(0,25)^x-(0,5)^x=0

Ответы

Ответ дал: triolana
0

файл

------------------------------

Приложения:
Ответ дал: АлинаШерне
0

0,5 в степени 2х минус 0,5 в степени х =0

опускаем основание 0,5. получаем

2х-х=0

х(х-1)=0

х=0 и х=1.

Приложения:
Вас заинтересует