• Предмет: Алгебра
  • Автор: brainly0708
  • Вопрос задан 2 года назад

Срочно 20 баллов алгебра 8

Приложения:

Ответы

Ответ дал: Bekzatgguru
1

Объяснение:

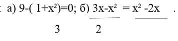
9 - (1 +  {x}^{2} ) = 0 \\ 9 - 1 -  {x}^{2}  = 0 \\ 8 -  {x}^{2}  = 0 \\  -  {x}^{2}  =  - 8 \\  {x}^{2}  = 8 \\ x =  \sqrt{8}  \\  \sqrt{8}  =  \sqrt{4 \times 2}  =  \sqrt{4}  \times  \sqrt{2}  = 2 \sqrt{2}

ответ:+22; -22;

2)

3x -  {x}^{2}  =  {x}^{2}  - 2x \\ 3x -  {x}^{2}  -  {x}^{2}  + 2x = 0 \\ 5x - 2x {}^{2}  = 0 \\ x(5 - 2x) = 0 \\  \\ x = 0 \\ 5 - 2x = 0

5 - 2x = 0 \\  - 2x =  - 5 \\ 2x = 5 \\ x =  \frac{5}{2}

Ответ: 0 и 5/2

выберите как лучший если понравится

Вас заинтересует