Ответы
Ответ дал:
1
Ответ:
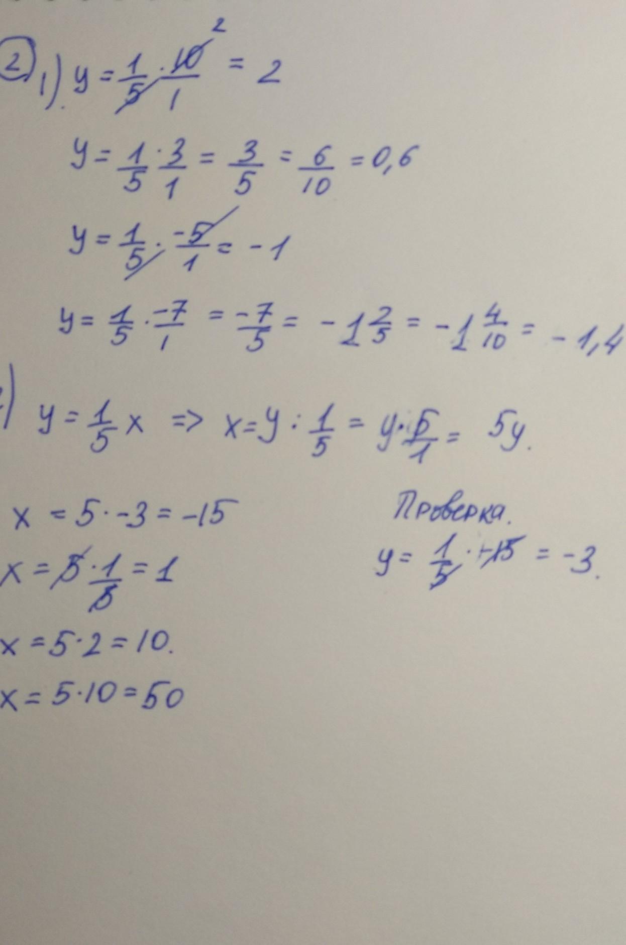
ответ на второе задание :
1) 2;0,6;-1;-1,4;
2)-15;1;10;50;
Приложения:

Вас заинтересует
1 год назад
1 год назад
3 года назад
3 года назад
8 лет назад