• Предмет: Математика
  • Автор: postnikova2007
  • Вопрос задан 2 года назад

Помогите пожалуйста срочно

Приложения:

Ответы

Ответ дал: vladrov
1

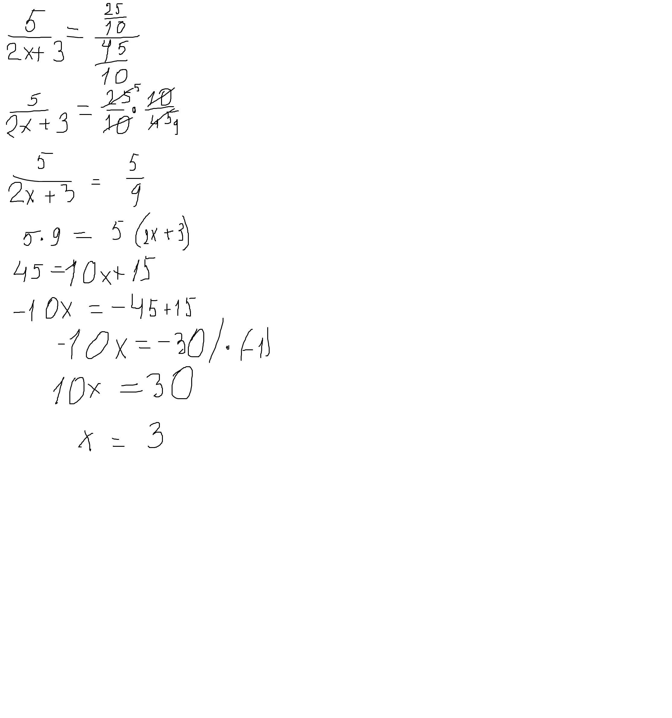
Ответ:

Пошаговое объяснение:

Приложения:
Вас заинтересует