• Предмет: Математика
  • Автор: strigri
  • Вопрос задан 8 лет назад

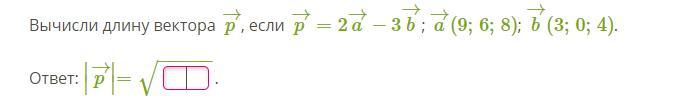
Помогите пожалуйста

Приложения:

Ответы

Ответ дал: Daniyar99D
0

Ответ:р=(9:12:4)

Пошаговое объяснение:берем и подставляет из а и б к решению т. е р=2*9-3*3=9 : р=2*6-3*0=12: р=2*8-3*4=4 общий ответ р стрелка сверху =(9:12:4)

Вас заинтересует