• Предмет: Алгебра
  • Автор: Аноним
  • Вопрос задан 11 лет назад

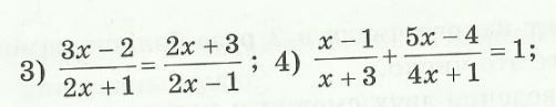
Помогите с алгеброй задание во вложениях!

Приложения:

Ответы

Ответ дал: Матов
0
frac{3x-2}{2x+1}=frac{2x+3}{2x-1}\ (3x-2)(2x-1)=(2x+3)(2x+1)\ 6x^2-7x+2=4x^2+8x+3\ 2x^2-15x-1=0\ D=225+4*2*1=233\ x_{1;2}=frac{15+/-sqrt{233}}{4}\ \ frac{x-1}{x+3} + frac{5x-4}{4x+1}=1\ (x-1)(4x+1)+(5x-4)(x+3)=(x+3)(4x+1)\ 4x^2-3x-1+5x^2+11x-12 = 4x^2+13x+3 \ 5x^2-5x-16=0\  x_{1;2}=frac{5-/+ sqrt{345}}{10}
Вас заинтересует