Ответы
Ответ дал:
0
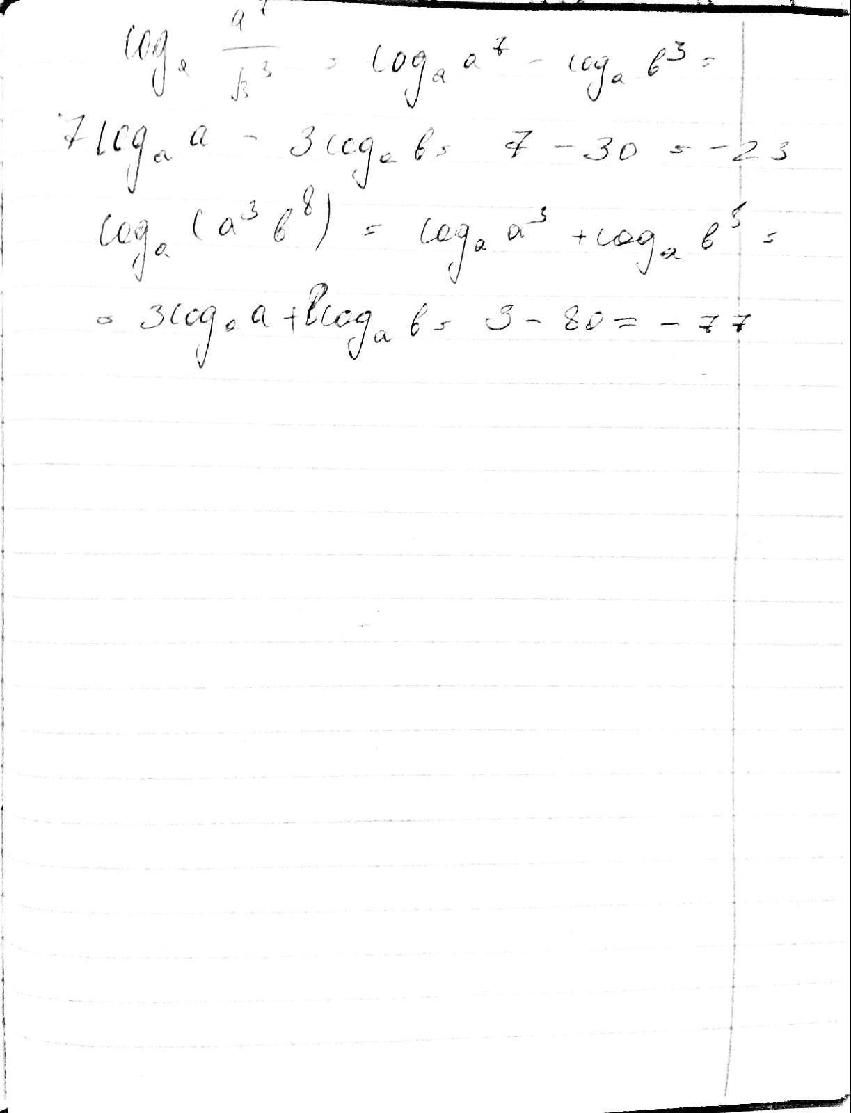
Ответ:
-23
-77
Пошаговое объяснение:
Приложения:

Вас заинтересует
1 год назад
1 год назад
1 год назад
1 год назад
3 года назад
8 лет назад