• Предмет: Алгебра
  • Автор: nina2006juli
  • Вопрос задан 2 года назад

подробно решить задания

Приложения:

Ответы

Ответ дал: lesnek
1

Ответ:

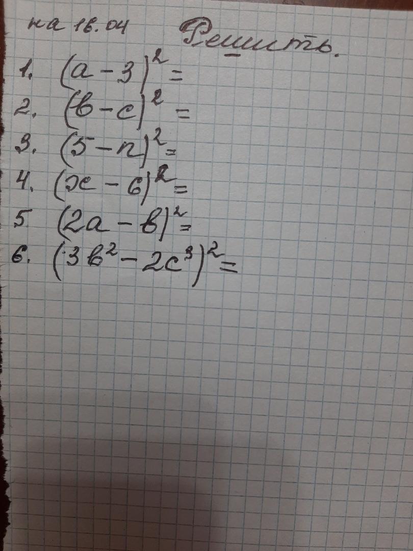
1. (a-3)^{2} = a^{2} - 6a + 9

2. (b-c)^{2} = b^{2} - 2bc + c^{2}

3. (5 - n)^{2} = 25 - 10n + n^{2}

4. (x-6)^{2} = x^{2}  - 12x + 36

5. (2a- b)^{2} = 4a^{2} - 4ab + b^{2}

6. (3b^{2}- 2c^{3})^{2} = 9b^{4} - 12b^{2}c^{3}  + 4c^{6}

Вас заинтересует