Помогите "взаимодействие атомов элементов-неметаллов между собой" и "Ковалентная полярная химическая связь"
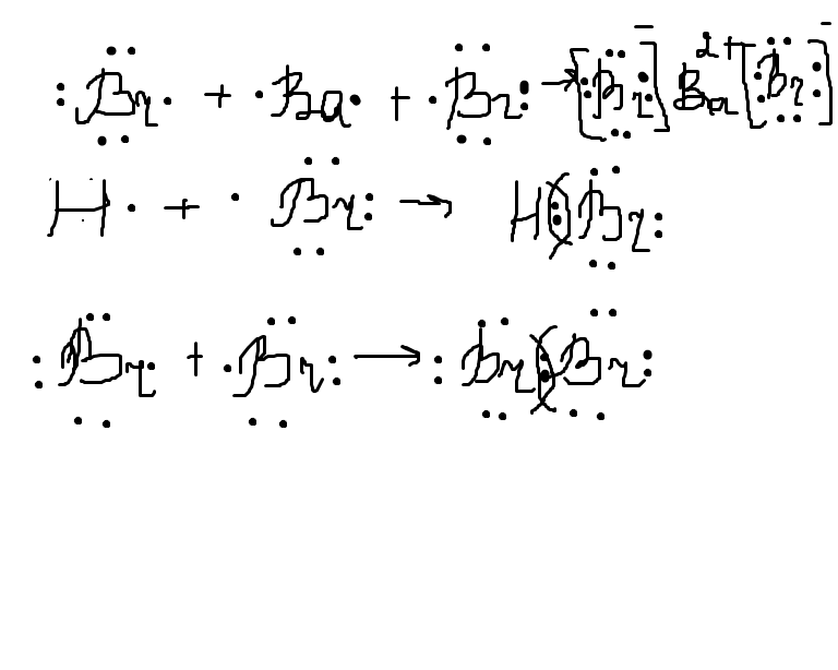
B

HBr

Сделать надо по этим темам
Образование молекул
Ответы
Ответ дал:
0
если что-то непонятно,что напиши.
Приложения:
Вас заинтересует
3 года назад
3 года назад
8 лет назад
11 лет назад
11 лет назад
11 лет назад