Ответы
Ответ дал:
3
Angelina598:
https://znanija.com/task/35565604 помогите пожалуйста алгебра (система уравнений с 2-мя переменными графический метод решения )
Ответ дал:
0
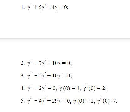
решение смотрите во вложении
Приложения:

Вас заинтересует
1 год назад
1 год назад
1 год назад
1 год назад
3 года назад
8 лет назад
8 лет назад