• Предмет: Алгебра
  • Автор: petrenkoalina777
  • Вопрос задан 8 лет назад

Очень нужна помощь

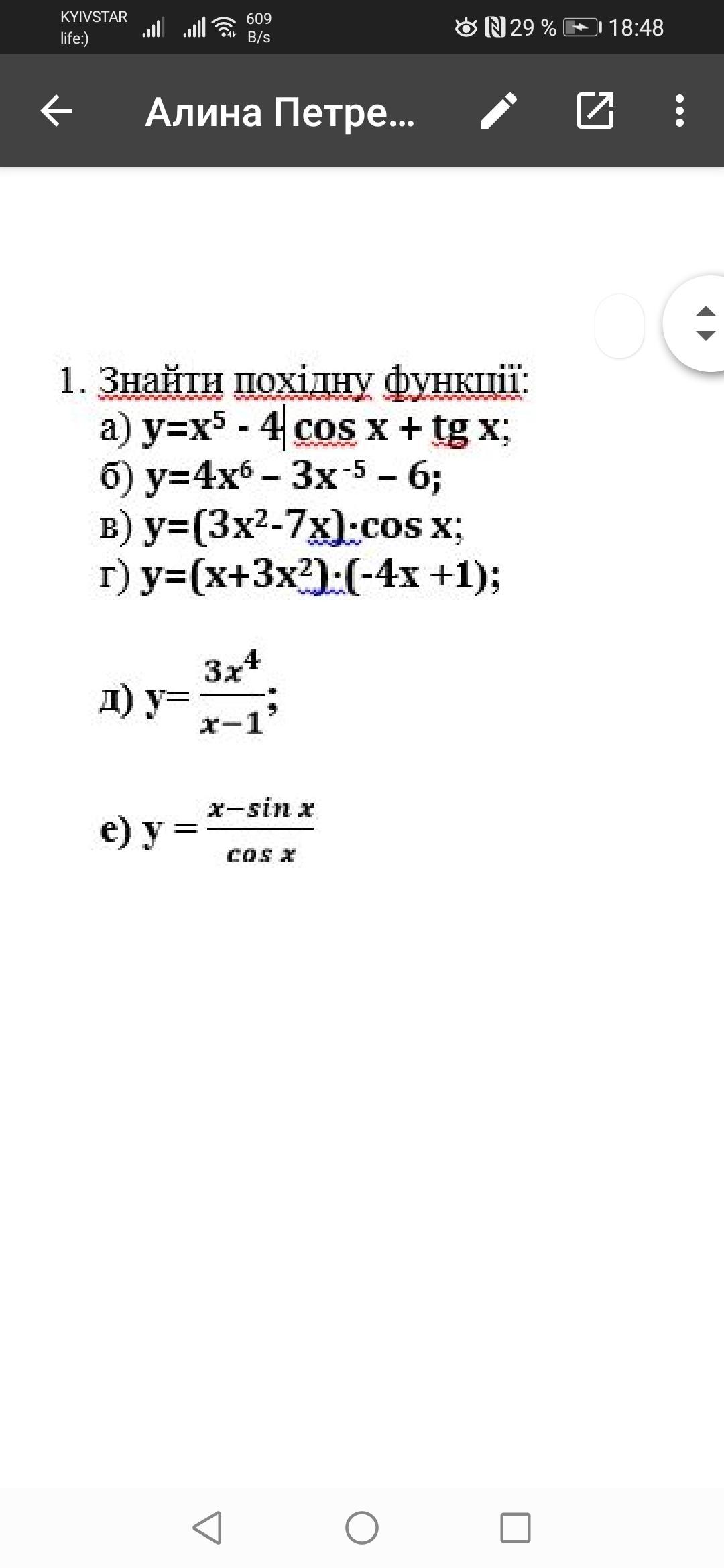
Знайти похідну

Приложения:

Ответа на этот вопрос пока нет. Попробуйте найти его через форму поиска.

Вас заинтересует