• Предмет: Математика
  • Автор: Neira315
  • Вопрос задан 8 лет назад

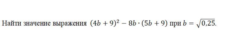
ПОМОГИТЕ ПОЖАЛУЙСТА, МНЕ СРОЧНО НУЖНО!!! Я НЕ ПОНИМАЮ КАК ДЕЛАТЬ

Приложения:

Ответа на этот вопрос пока нет. Попробуйте найти его через форму поиска.

Вас заинтересует